Image Details

Choose export citation format:

The First Hours of the GW170817 Kilonova and the Importance of Early Optical and Ultraviolet Observations for Constraining Emission Models

  • Authors: Iair Arcavi

2018 The Astrophysical Journal Letters 855 L23.

  • Provider: AAS Journals

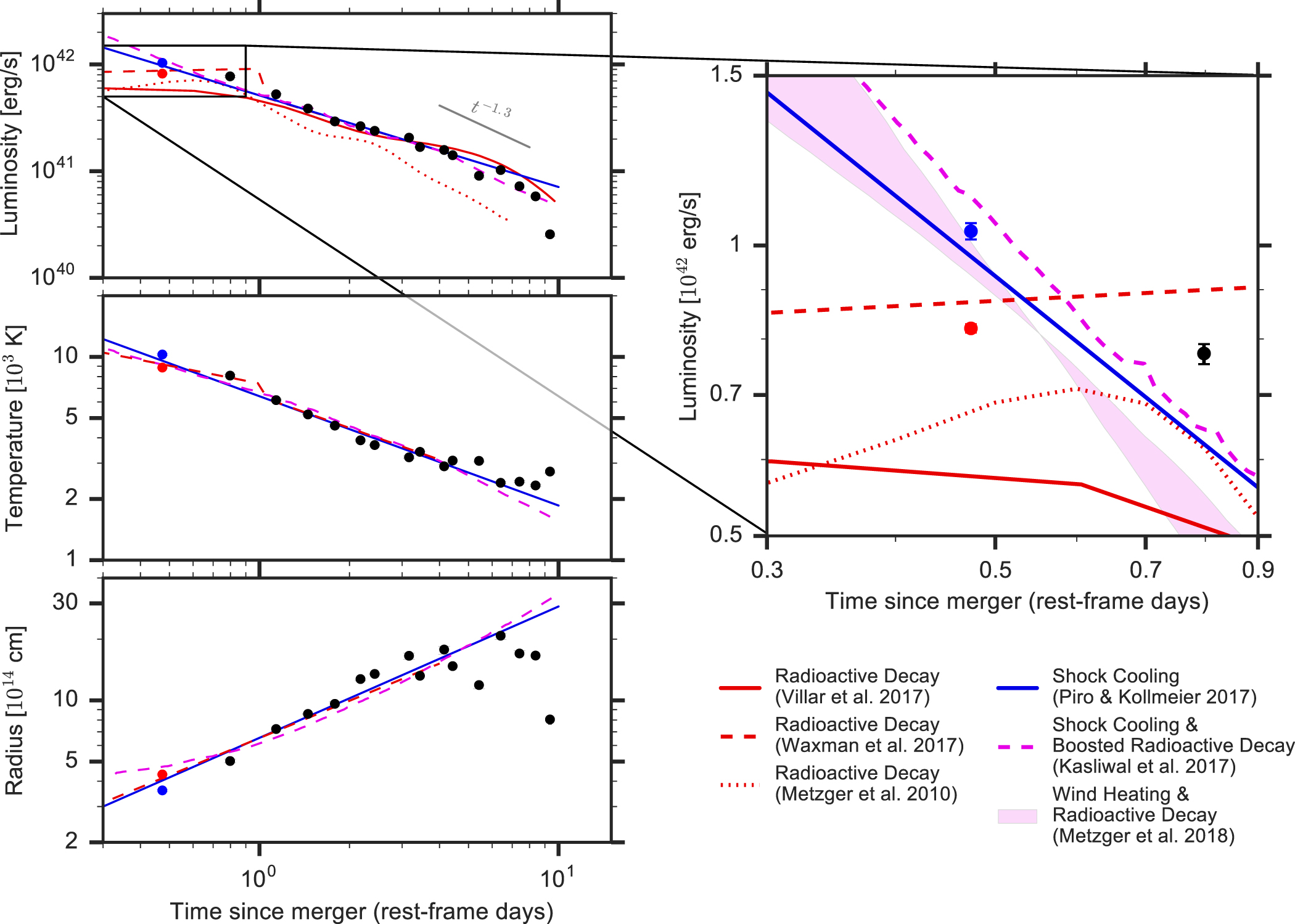
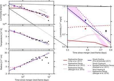
Caption: Figure 5.

Bolometric luminosity, photospheric temperature, and photospheric radius from the blackbody fits (circles). The results from the two blackbody fits from Figure 2 are shown for the first epoch: without any assumptions on the ultraviolet emission at that epoch (blue circle), and including the ultraviolet data from four hours later (red circle). That difference is enough to change the early behavior of the bolometric light curve from a shallow slope, resembling that of the pure radioactive emission models (red lines) to a steep slope similar to that of the shock heating, wind heating, and boosted radioactive decay models (blue lines and shaded region). A radioactive heating rate of t−1.3 is also shown for comparison to the late bolometric evolution (gray line). (The data used to create this figure are available.)

Other Images in This Article
Copyright and Terms & Conditions