Image Details

Choose export citation format:

Reflection Spectra of the Black Hole Binary Candidate MAXI J1535-571 in the Hard State Observed by NuSTAR

  • Authors: Yanjun Xu, Fiona A. Harrison, Javier A. García, Andrew C. Fabian, Felix Fürst, Poshak Gandhi, Brian W. Grefenstette, Kristin K. Madsen, Jon M. Miller, Michael L. Parker, John A. Tomsick, and Dominic J. Walton

2018 The Astrophysical Journal Letters 852 L34.

  • Provider: AAS Journals

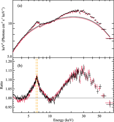
Caption: Figure 2.

(a) Unfolded NuSTAR spectra of MAXI J1535-571. FPMA and FPMB data are plotted in black and red, respectively. (b) Data/model residuals to an absorbed cutoff power-law model. The narrow core of the iron line peaks at ∼6.5 keV. The energies of neutral Fe ﹩{\rm{K}}\alpha ﹩ (6.4 keV) and Fe XXV ﹩{\rm{K}}\alpha ﹩ (6.7 keV) are marked as orange dashed lines.

Other Images in This Article
Copyright and Terms & Conditions