Image Details

Choose export citation format:

From Hot Jupiters to Super-Earths via Roche Lobe Overflow

  • Authors: Francesca Valsecchi, Frederic A. Rasio, and Jason H. Steffen

Valsecchi, Rasio, & Steffen 2014 The Astrophysical Journal Letters 793 L3.

  • Provider: AAS Journals

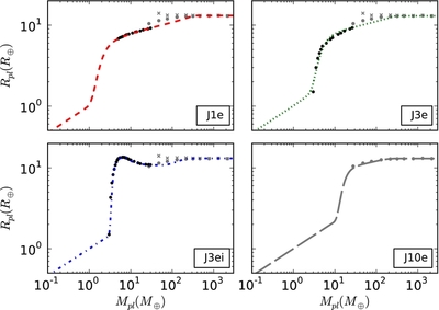
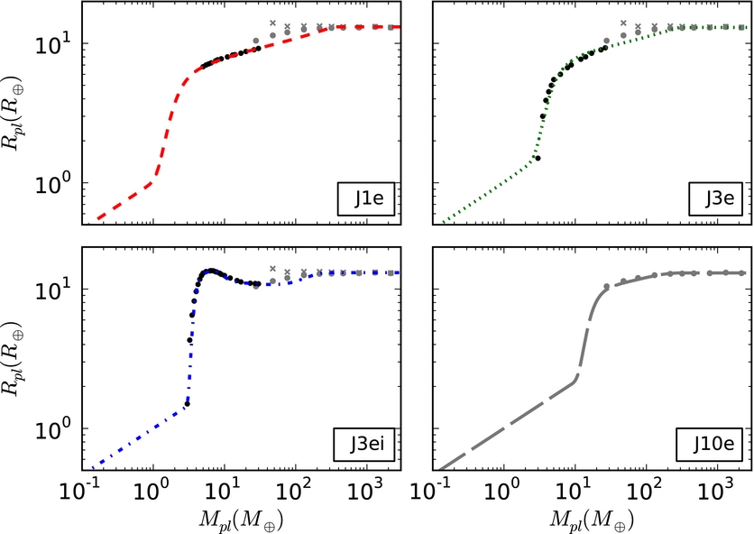
Caption: Figure 2.

Mass–radius relations for the planet. In black are data taken from panels (A) and (B) of Figure 3 in Batygin & Stevenson (2013), while in gray are the data taken from Table 4 of Fortney et al. (2007) for a giant planet with no core (crosses) and Mc = 10 M (filled circles). The labels "J1e," "J3e," and "J10e" refer to the 1 M, 3 M, and 10 M core-mass models, while the label "J3ei" denotes the irradiated 3 M core-mass model.

Other Images in This Article
Copyright and Terms & Conditions