Image Details

Choose export citation format:

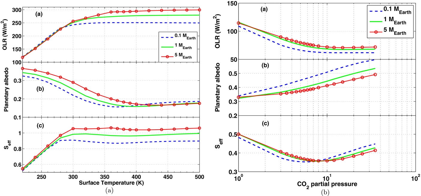
Habitable Zones around Main-sequence Stars: Dependence on Planetary Mass

  • Authors: Ravi Kumar Kopparapu, Ramses M. Ramirez, James SchottelKotte, James F. Kasting, Shawn Domagal-Goldman, and Vincent Eymet

Kopparapu et al. 2014 The Astrophysical Journal Letters 787 L29.

  • Provider: AAS Journals

Caption: Figure 2.

Similar to Figure 1, but here pN2 is scaled according to the planet mass as described by Equation (3). The net effect is that the inner edge of the HZ (left-bottom panel) moves closer to the star for a massive planet and the outer edge of the HZ (right-bottom panel) changes little.

Other Images in This Article
Copyright and Terms & Conditions