Image Details

Choose export citation format:

Extinction and Dust Geometry in M83 H II Regions: An Hubble Space Telescope/WFC3 Study

  • Authors: Guilin Liu, Daniela Calzetti, Sungryong Hong, Bradley Whitmore, Rupali Chandar, Robert W. O'Connell, William P. Blair, Seth H. Cohen, Jay A. Frogel, and Hwihyun Kim

Liu et al. 2013 The Astrophysical Journal Letters 778 L41.

  • Provider: AAS Journals

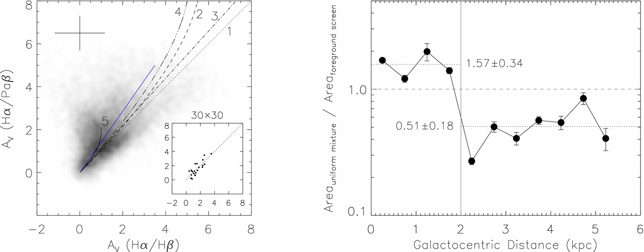
Caption: Figure 4.

Left. the relation between A V derived in two ways, compared to the five simple models discussed in the text, numbered in the same fashion (1—foreground screen; 2—clumpy dust screen; 3—uniform scattering slab; 4—clumpy scattering slab; 5—uniform mixture). Only pixels with S/N ⩾ 5 detection in all three lines are used, and the typical 1σ uncertainty is shown at the corner. The blue line A V (Hα/Paβ) = 1.428  A V (Hα/Hβ) bisects the data points and approximately separates the two branches which roughly follow either model 5 or the degenerate trend of the other four models. When averaged over ~180 pc (i.e., a 30 × 30 grid), all data points become consistent with model 1. Right. the ratio of the area occupied by the "uniform mixture branch" to that by the "foreground screen branch" as a function of the galactocentric distance. The central region within ~2 kpc is dominated by "uniform mixture" pixels (61%) and thus favors model 5, while the rest of the disk is dominated by "foreground screen" pixels (66%) and favors model 1 better.

Other Images in This Article
Copyright and Terms & Conditions