Image Details

Choose export citation format:

Common Envelope Wind Tunnel: The Effects of Binary Mass Ratio and Implications for the Accretion-driven Growth of LIGO Binary Black Holes

  • Authors: Soumi De, Morgan MacLeod, Rosa Wallace Everson, Andrea Antoni, Ilya Mandel, and Enrico Ramirez-Ruiz

2020 The Astrophysical Journal 897 130.

  • Provider: AAS Journals

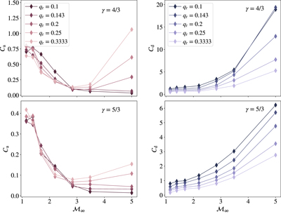
Caption: Figure 7.

Variations of the median coefficient of accretion Ca and the median coefficient of drag Cd vs. upstream Mach number ﹩{{ \mathcal M }}_{\infty }﹩ for the (Γs, γ) = (4/3, 4/3) simulations (top panels) and (Γs, γ) = (5/3, 5/3) simulations (bottom panels). Ca (Cd) vs. ﹩{{ \mathcal M }}_{\infty }﹩ curves are shown for each qr value at which simulations are performed. Ca is obtained by normalizing the mass accretion rate in the system to the HL theory mass accretion rate. Cd is obtained by normalizing the drag force in the system to the HL theory drag force. The Ca and Cd median values are computed in the simulation time range ﹩10{R}_{{\rm{a}}}/{v}_{\infty }\lt t\lt 30{R}_{{\rm{a}}}/{v}_{\infty }﹩. For a fixed, small mass ratio qr, a higher ﹩{{ \mathcal M }}_{\infty }﹩ corresponds to a steeper upstream density gradient that breaks the symmetry of the flow, causing a reduction in Ca, and a greater quantity of dense material gravitationally focused from the deep stellar interior, which increases Cd.

Other Images in This Article

Show More

Copyright and Terms & Conditions