Image Details

Choose export citation format:

The Structure and Evolution of Massive Rotating Single and Binary Population III Stars

  • Authors: Hanfeng Song, Georges Meynet, Zhi Li, Weiguo Peng, Ruiyu Zhang, and Qiong Zhan

2020 The Astrophysical Journal 892 41.

  • Provider: AAS Journals

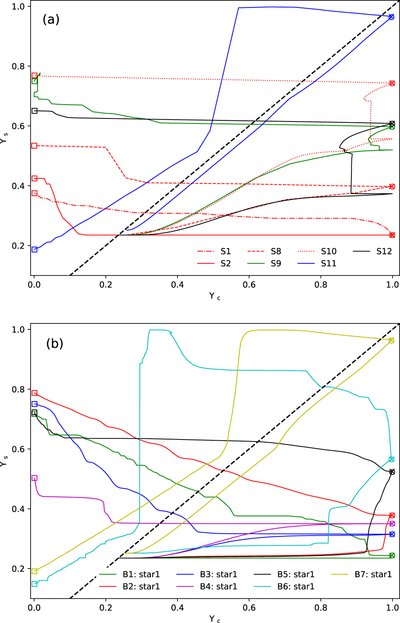
Caption: Figure 7.

Surface helium mass faction Ys vs. central helium mass fraction Yc from ZAMS up to the end of the helium burning for (a) single stars and (b) the donor star in binaries. When the surface helium abundance goes up as fast as the central helium abundance (slope ∼ 1), the evolution is chemically homogeneous. For comparison, a straight line with a slope of 1 is included (black dashed line).

Other Images in This Article

Show More

Copyright and Terms & Conditions