Image Details

Choose export citation format:

Angular Correlation Function Estimators Accounting for Contamination from Probabilistic Distance Measurements

  • Authors: Humna Awan and Eric Gawiser

2020 The Astrophysical Journal 890 78.

  • Provider: AAS Journals

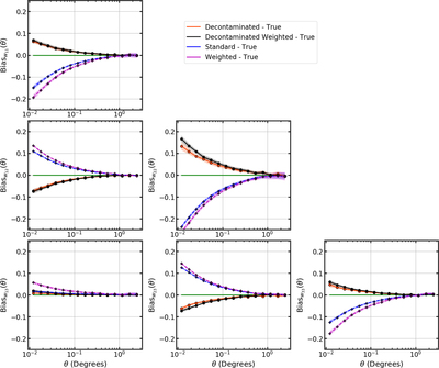
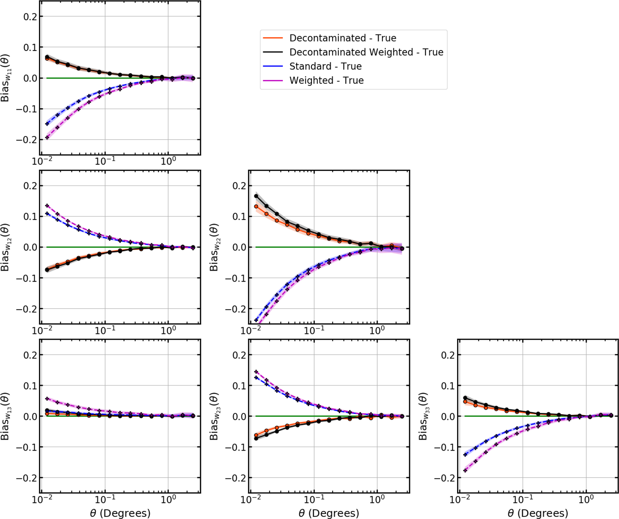
Caption: Figure 9.

Bias in the correlation functions in the three-sample case of Section 5.2, with 1σ uncertainties in each estimator indicated with the shaded regions. We see that as in the toy example in Section 5.1, just as ﹩{\mathtt{Decontamination}}﹩ (red) reduces the bias using the correlations on the contaminated subsamples (blue), the Decontaminated Weighted estimator (black) reduces the bias from the Weighted correlations on the entire observed sample (magenta), without needing to divide the observed sample into subsamples; the green line indicates zero bias.

Other Images in This Article

Show More

Copyright and Terms & Conditions