Image Details

Choose export citation format:

Dust Formation in AGN Winds

  • Authors: Arkaprabha Sarangi, Eli Dwek, and Demos Kazanas

2019 The Astrophysical Journal 885 126.

  • Provider: AAS Journals

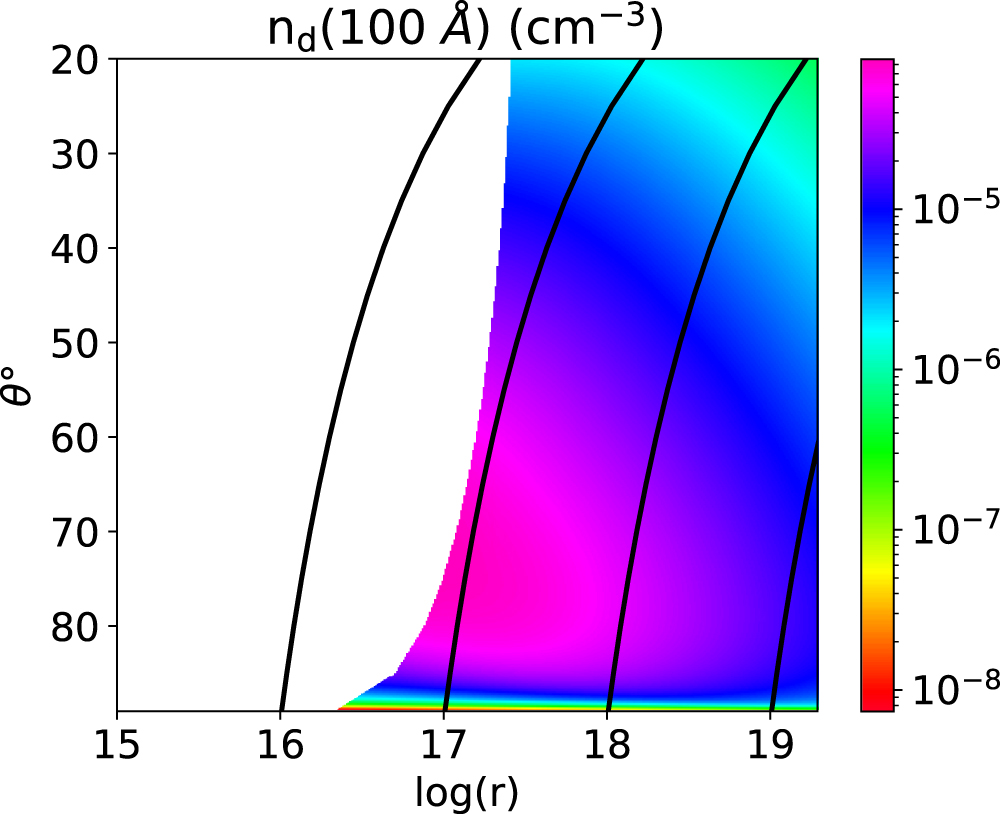
Caption: Figure 9.

The color map shows the number density of 100 Å silicate grains in polar coordinates (r, θ). The white region is free of dust, as it is the boundary of the sublimation region. The black lines in the figure represent the parabolic flow lines with various starting/launch radii on the accretion disk, r0.

Other Images in This Article

Show More

Copyright and Terms & Conditions