Image Details

Choose export citation format:

The 19F(α, p)22Ne Reaction at Energies of Astrophysical Relevance by Means of the Trojan Horse Method and Its Implications in AGB Stars

  • Authors: G. D'Agata, R. G. Pizzone, M. La Cognata, I. Indelicato, C. Spitaleri, S. Palmerini, O. Trippella, D. Vescovi, S. Blagus, S. Cherubini, P. Figuera, L. Grassi, G. L. Guardo, M. Gulino, S. Hayakawa, R. Kshetri, L. Lamia, M. Lattuada, T. Mijatovic`, M. Milin, Đ. Miljanic`, L. Prepolec, G. G. Rapisarda, S. Romano, M. L. Sergi, N. Skukan, N. Soic`, V. Tokic`, A. Tumino, and M. Uroic`

2018 The Astrophysical Journal 860 61.

  • Provider: AAS Journals

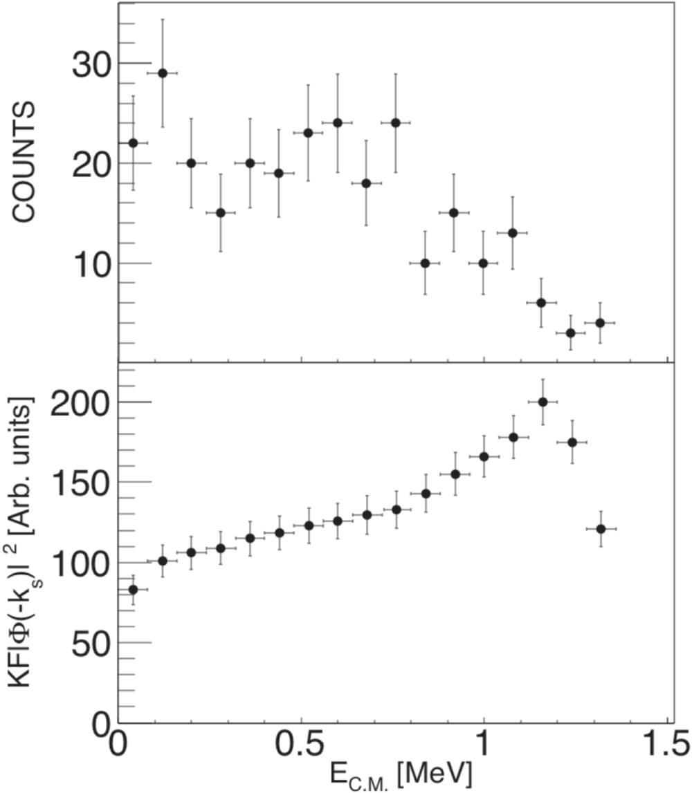
Caption: Figure 8.

Three-body reaction yield for the 19F(α, p)22Ne reaction (upper panel) as a function of EC.M. and the product of the kinematic factor times the momentum distribution of the α − d relative motion inside 6Li (lower panel).

Other Images in This Article

Show More

Copyright and Terms & Conditions