Image Details

Choose export citation format:

A Vorticity-preserving Hydrodynamical Scheme for Modeling Accretion Disk Flows

  • Authors: Darryl Seligman, and Gregory Laughlin

2017 The Astrophysical Journal 848 54.

  • Provider: AAS Journals

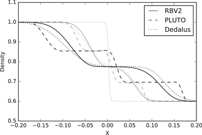
Caption: Figure 5.

Simulations of a two-dimensional, isothermal shock tube with RBV2 (solid lines), PLUTO (dashed lines), and Dedalus (dotted lines). Decreasing transparency indicates more advanced simulation time, plotted at 0.00, 0.01, and 0.02 sound-crossing times. The computational domain is a 200 × 200 mesh that spans ﹩(-0.5,0.5)﹩ and ﹩(-0.5,0.5)﹩ with an initial density contrast of ﹩0.6﹩ and a sound speed cs = 1.0.

Other Images in This Article
Copyright and Terms & Conditions