Image Details

Choose export citation format:

A Radio-interferometric Imaging Method Based on Adaptively Learned Sparsifying Basis

  • Authors: Xiaocheng Yang, Yixin Zhang, Lin Wu, Jingye Yan, Mingfeng Jiang, Haixiang Zhang, Xuning Lv, Yang Yang, Li Deng

Xiaocheng Yang et al 2026 The Astronomical Journal 171 .

  • Provider: AAS Journals

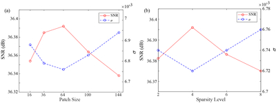
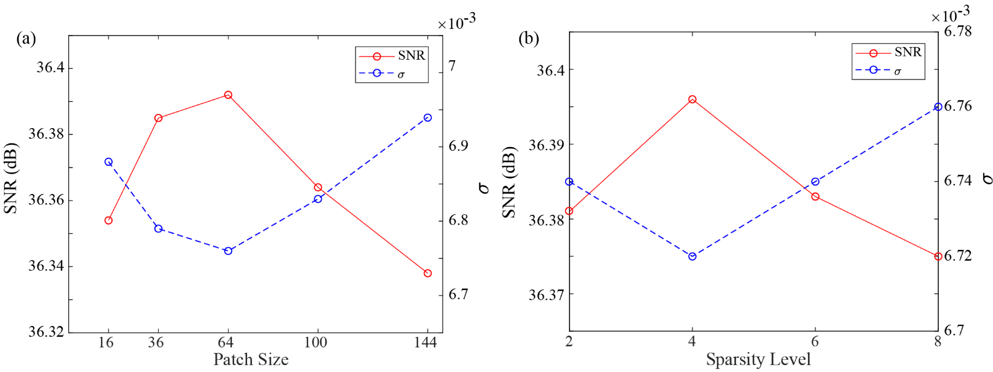
Caption: Figure 3.

Parameter evaluation. (a) SNR and fidelity versus patch size. (b) SNR and fidelity versus sparsity level.

Other Images in This Article
Copyright and Terms & Conditions

Additional terms of reuse