Image Details

Choose export citation format:

52 Eclipsing Quadruple Star Candidates Discovered in TESS Full Frame Images

  • Authors: V. B. Kostov, B. P. Powell, S. A. Rappaport, T. Borkovits, R. Gagliano, M. Omohundro, T. L. Jacobs, M. H. Kristiansen, G. Torres, G. Handler, A. R. Schmitt, H. M. Schwengeler, T. Mitnyan, I. A. Terentev, D. M. LaCourse, A. Vanderburg, S. D. Alexandrov, C. M. da Silva, Marco Z. Di Fraia, Aline U. Fornear, M. Huten, D. Iannone, Julien S. de Lambilly, S. Lee, J. Orosz, R. Rodrigues, A. Tarr, W. Welsh

V. B. Kostov et al 2026 The Astronomical Journal 171 .

  • Provider: AAS Journals

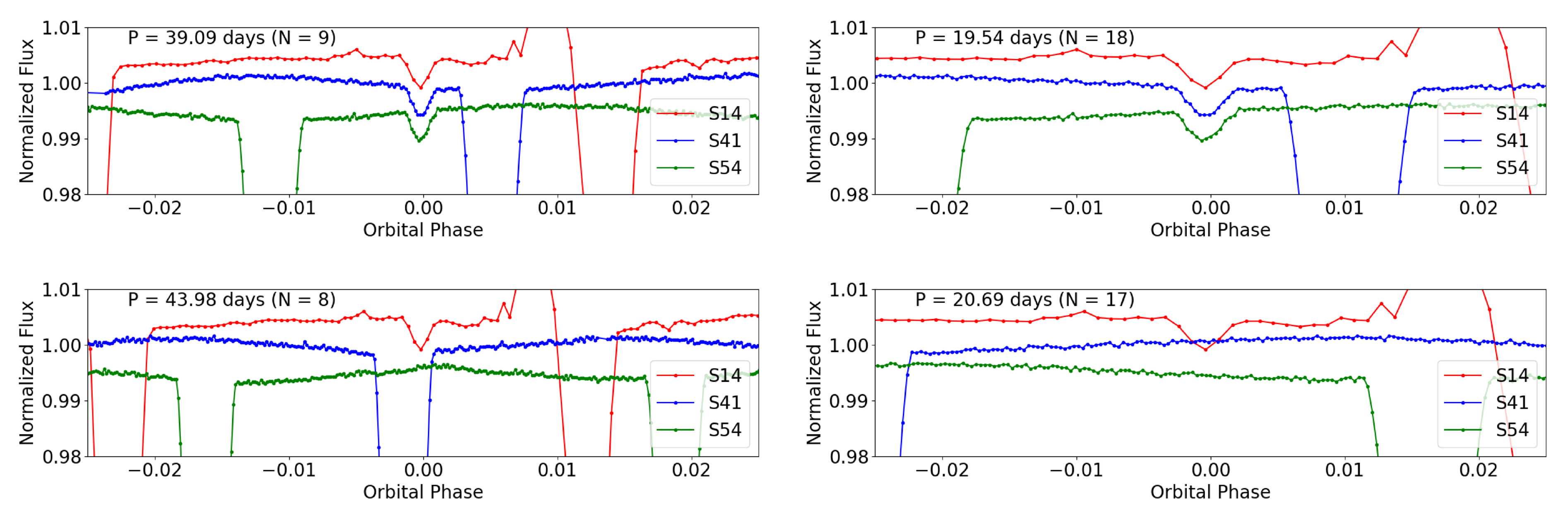
Caption: Figure A2.

Phase-folded lightcurve for TIC 391461666. Upper panels: fold on two possible periods of the second EB, PB = 351.8/N days: PB = 39.09 days, (i.e., N = 9, upper left), and PB = 19.54 days (i.e., N = 18, upper right). Both provide a convincing case for binary B and thus a potential true period. Lower panels: same as upper panes, but for two values of N for which PB = 351.8/N days can be ruled out from the available data: N = 8 (lower left) and N = 17 (lower right).

Other Images in This Article

Show More

Copyright and Terms & Conditions

Additional terms of reuse