Image Details

Choose export citation format:

Extreme Starlight Polarization Efficiency toward ζ Ophiuchi: A Case for Line-of-sight Foreground Subtraction

  • Authors: Jordan A. Bartlett, Henry A. Kobulnicky

Jordan A. Bartlett and Henry A. Kobulnicky 2025 The Astronomical Journal 170 .

  • Provider: AAS Journals

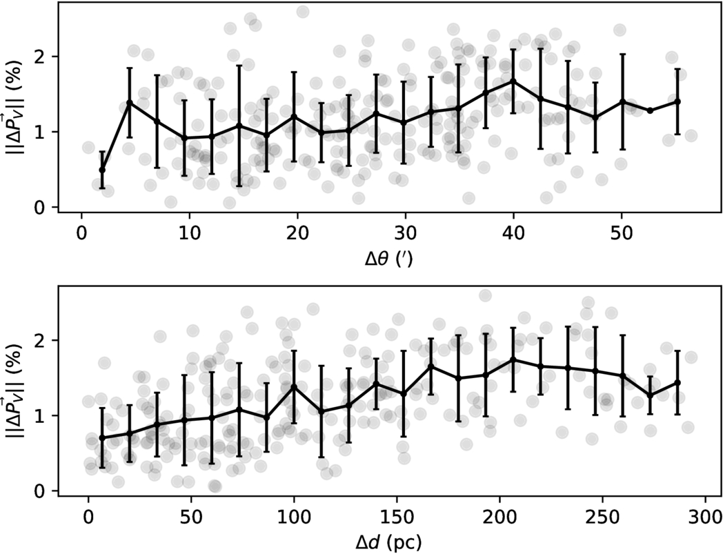
Caption: Figure 3.

The structure function of ﹩\Vert {\rm{\Delta }}{{\boldsymbol{P}}}_{{\rm{V}}}\Vert ﹩ for line of sight Δd and angular separation Δθ. The data are binned into 22 bins for clarity, with the black data points representing the mean value of each bin. The error bars represent the 1σ uncertainties. These data are limited to Δd < 300 pc and Δθ < 1° due to lack of target pairs beyond these separations. The unbinned data are presented as semitransparent points.

Other Images in This Article
Copyright and Terms & Conditions

Additional terms of reuse