Image Details

Choose export citation format:

Far-field Pattern Analysis Based on Piecewise Aperture Field Integration for Leighton Chajnantor Telescope Antenna under Gravity and Wind Load

  • Authors: Jia You, Zheng Wang

Jia You and Zheng Wang 2024 The Astronomical Journal 168 .

  • Provider: AAS Journals

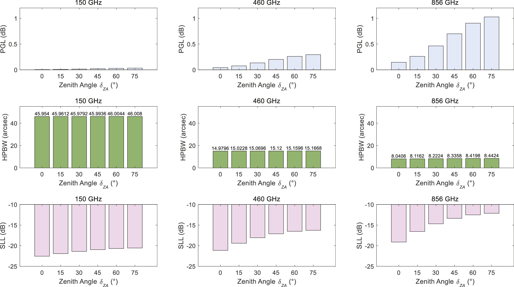
Caption: Figure 7.

FoMs under gravity and various zenith angles at LCT’s three typical operating frequencies.

Other Images in This Article
Copyright and Terms & Conditions

Additional terms of reuse