Image Details

Choose export citation format:

The ∼50 Myr Old TOI-942c is Likely on an Aligned, Coplanar Orbit and Losing Mass

  • Authors: Huan-Yu Teng, 环宇 滕, Fei Dai, 飞 戴, Andrew W. Howard, Howard Isaacson, Ryan A. Rubenzahl, Isabel Angelo, Alex S. Polanski

Huan-Yu Teng et al 2024 The Astronomical Journal 168 .

  • Provider: AAS Journals

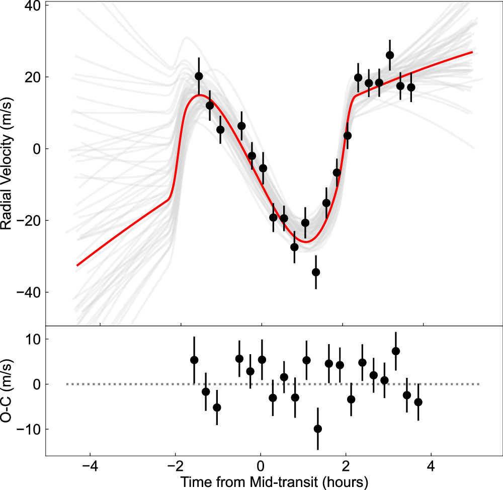
Caption: Figure 1.

The radial velocities (RVs) during the transit event of TOI-942c on 2021 November 25th (UTC), measured by Keck/HIRES spectra. In the upper subplot, the solid red line is the best-fit model (﹩\left|\lambda \right|={24}_{-14}^{+14\circ }﹩), incorporating the Rossiter–McLaughlin effect and RV long-term trend. The solid gray lines are the solutions randomly selected from the Markov chain Monte Carlo sampling. In the lower panel, the residuals are given by subtracting the best-fit model.

Other Images in This Article
Copyright and Terms & Conditions

Additional terms of reuse