Image Details

Choose export citation format:

A Close Binary Lens Revealed by the Microlensing Event Gaia20bof

  • Authors: E. Bachelet, P. Rota, V. Bozza, P. Zieliński, Y. Tsapras, M. Hundertmark, J. Wambsganss, Ł. Wyrzykowski, P. J. Mikołajczyk, R. A. Street, R. Figuera Jaimes, A. Cassan, M. Dominik, D. A. H. Buckley, S. Awiphan, N. Nakhaharutai, S. Zola, K. A. Rybicki, M. Gromadzki, K. Howil, N. Ihanec, M. Jabłońska, K. Kruszyńska, K. Kruszyńska, U. Pylypenko, M. Ratajczak, M. Sitek, M. Rabus

E. Bachelet et al 2024 The Astronomical Journal 168 .

  • Provider: AAS Journals

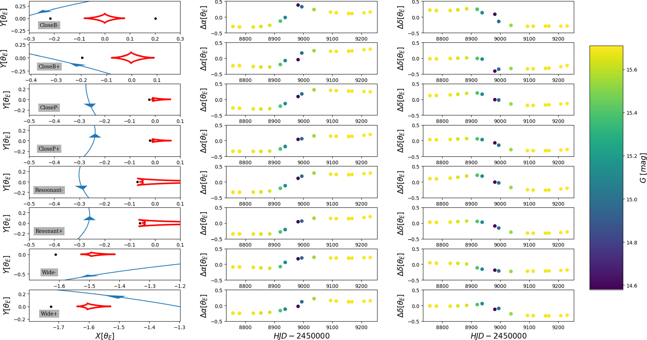
Caption: Figure 5.

(Left) The source trajectories (blue), caustics (red) and critical curves (black) for the eight models. Note that the center of mass of the lenses is kept fixed at (0,0). The microlensing astrometric deflections in R.A. (middle) and in decl. (right) vs. time are also displayed. The color indicates the observed Gaia G magnitude.

Other Images in This Article
Copyright and Terms & Conditions

Additional terms of reuse