Image Details

Choose export citation format:

Zwicky Transient Facility and Globular Clusters: The Period–Luminosity and Period–Wesenheit Relations for Type II Cepheids

  • Authors: Chow-Choong Ngeow, Anupam Bhardwaj, Jing-Yi Henderson, Matthew J. Graham, Russ R. Laher, Michael S. Medford, Josiah Purdum, Ben Rusholme

Chow-Choong Ngeow et al 2022 The Astronomical Journal 164 .

  • Provider: AAS Journals

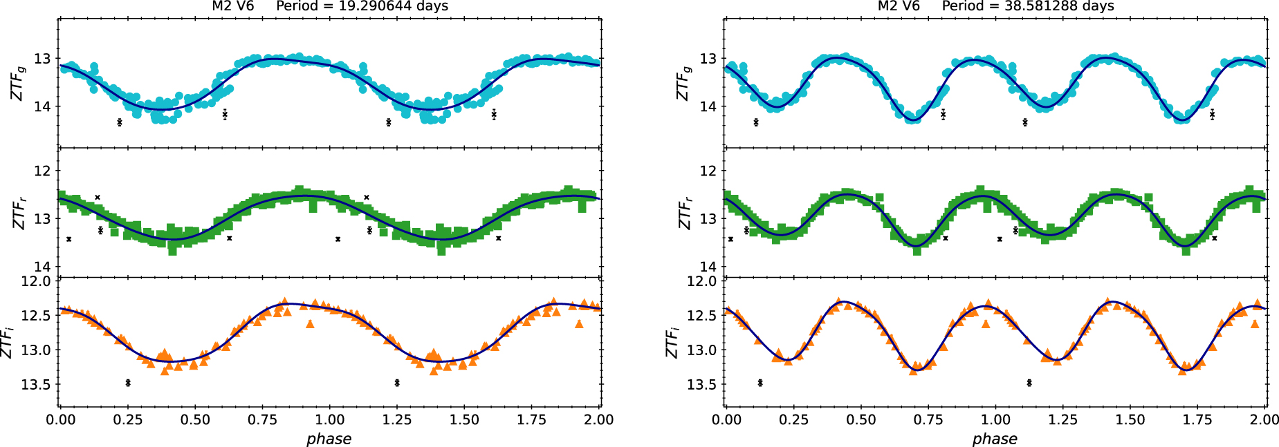
Caption: Figure 1.

ZTF light curves for V6 in M2 folded with the period determined from LombScargleMultiband (left panel) and twice that of the determined period (right panel). Alternate minima can be seen when the determined period is doubled. The black curves are the fitted low-order Fourier expansion given in Equation (1). Crosses are rejected outliers based on the two-step fitting process (see the text for details).

Other Images in This Article
Copyright and Terms & Conditions

Additional terms of reuse