Image Details
 
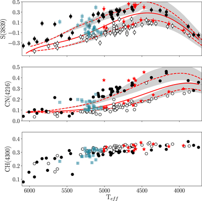
                    Caption: Figure 2.
S(3839), CN(4216), and CH indices plotted against effective temperature, top, middle, and bottom panel, respectively. Points are indicated as in Figure 1, with the exception that CN-enhanced RGB stars are indicated as filled circles and CN-normal RGB stars are indicated as open circles. Error bars showing the estimated uncertainty are shown in each panel. For CN(4216) and CH, the estimated uncertainty is smaller than the points. Solid red lines in the top two panels are the fiducial lines used to create a δS(3839) and a δCN(4216) index. Dashed red lines indicate fiducials with a given C and N abundance: [C/Fe] = −0.3 dex, [N/Fe] = 1.5 dex for the CN-enhanced, and [C/Fe] = 0.0, [N/Fe] = 0.6 dex for the CN-normal. The shaded, gray areas around these fiducials represent the uncertainty from the range in [O/Fe] abundances for these stars as discussed in Section 3.3.
© 2020. The American Astronomical Society. All rights reserved.