Image Details

Choose export citation format:

Optimizing Ground-based Observations of O2 in Earth Analogs

  • Authors: Mercedes López-Morales, Sagi Ben-Ami, Gonzalo Gonzalez-Abad, Juliana García-Mejía, Jeremy Dietrich, and Andrew Szentgyorgyi

2019 The Astronomical Journal 158 24.

  • Provider: AAS Journals

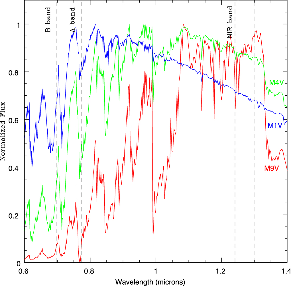
Caption: Figure 3.

Husser et al. (2013) model emission spectra for M1V, M4V, and M9V stars. The resolution of the models has been binned down to R = 3000 for a clearer display. The vertical dashed lines highlight the location of the O2 B, A, and NIR bands.

Other Images in This Article
Copyright and Terms & Conditions