Image Details

Choose export citation format:

Magellan/PFS Radial Velocities of GJ 9827, a Late K dwarf at 30 pc with Three Transiting Super-Earths

  • Authors: Johanna K. Teske, Sharon Wang, Angie Wolfgang, Fei Dai, Stephen A. Shectman, R. Paul Butler, Jeffrey D. Crane, and Ian B. Thompson

2018 The Astronomical Journal 155 148.

  • Provider: AAS Journals

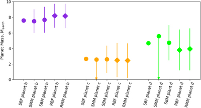
Caption: Figure 11.

A comparison of the masses for each of the GJ 9827 planets, as determined from SYSTEMIC (S, circles) and RADVEL (R, diamonds) best-fits (BF), MCMC medians (MM), and (for SYSTEMIC) bootstrap medians (BM). The results of planet b are plotted in purple, planet c in orange, and planet d in green. The error bars on each point correspond to the 1σ errors; SYSTEMIC does not report errors on the best-fit parameters. The MCMC results from SYSTEMIC are plotted with arrows to represent upper limits.

Other Images in This Article
Copyright and Terms & Conditions