Image Details

Choose export citation format:

HELIOS–RETRIEVAL: An Open-source, Nested Sampling Atmospheric Retrieval Code; Application to the HR 8799 Exoplanets and Inferred Constraints for Planet Formation

  • Authors: Baptiste Lavie, João M. Mendonça, Christoph Mordasini, Matej Malik, Mickaël Bonnefoy, Brice-Olivier Demory, Maria Oreshenko, Simon L. Grimm, David Ehrenreich, and Kevin Heng

2017 The Astronomical Journal 154 91.

  • Provider: AAS Journals

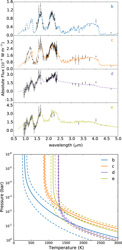
Caption: Figure 9.

Best-fit spectra and temperature–pressure profiles for HR 8799b, c, d, and e.

Other Images in This Article

Show More

Copyright and Terms & Conditions