Image Details

Choose export citation format:

A CHANDRA STUDY OF THE INTERSTELLAR METALLICITY IN THE LARGE MAGELLANIC CLOUD USING SUPERNOVA REMNANTS

  • Authors: Andrew Schenck, Sangwook Park, and Seth Post

2016 The Astronomical Journal 151 161.

  • Provider: AAS Journals

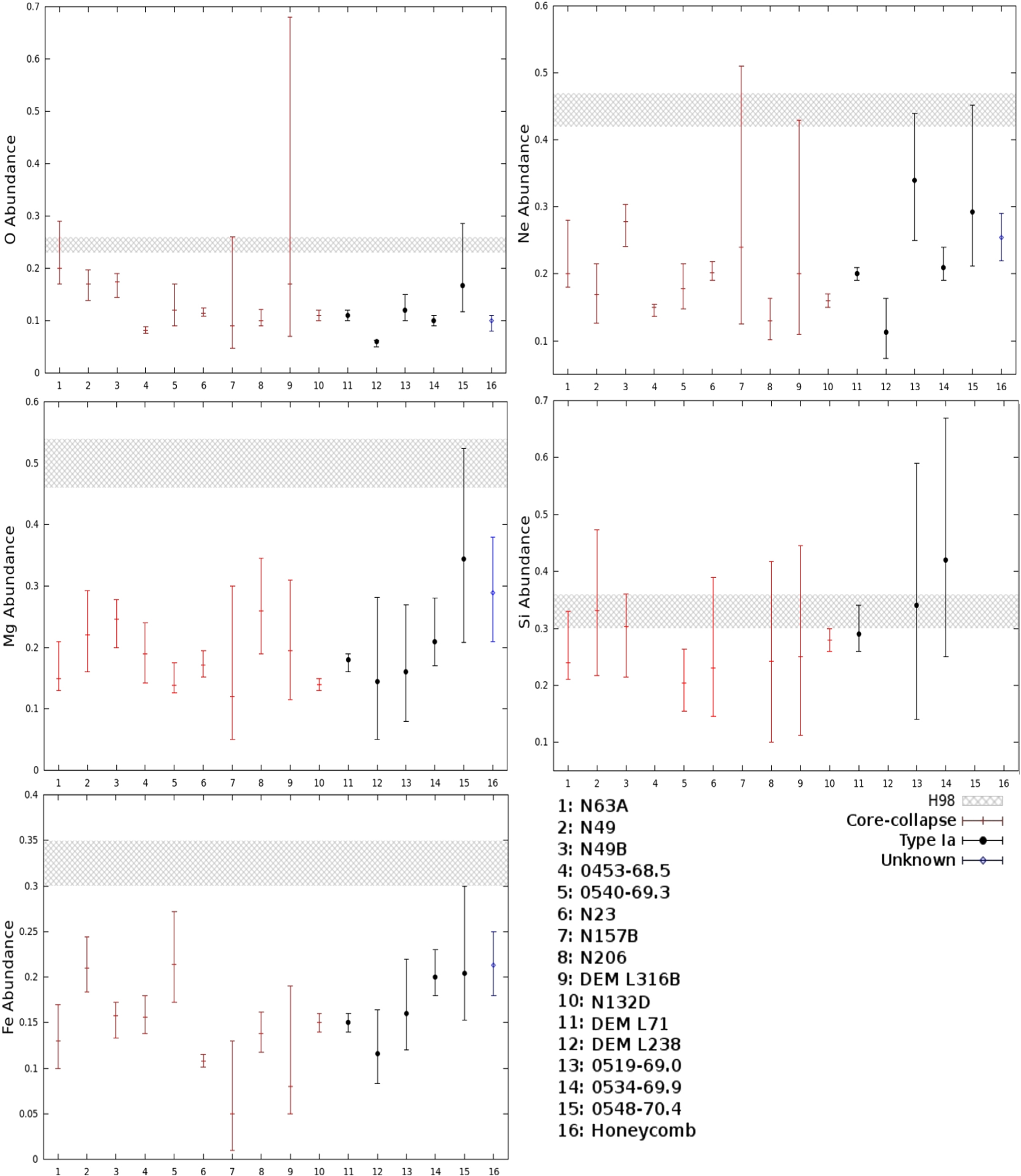
Caption: Figure 8.

Elemental abundances for O, Ne, Mg, Si, and Fe for each SNR used in this study. Abundances are with respect to solar (Anders & Grevesse 1989).

Other Images in This Article
Copyright and Terms & Conditions