Image Details

Choose export citation format:

THE FUV TO NEAR-IR MORPHOLOGIES OF LUMINOUS INFRARED GALAXIES IN THE GOALS SAMPLE

2014 The Astronomical Journal 148 111.

  • Provider: AAS Journals

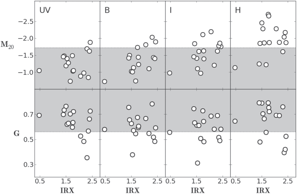
Caption: Figure 5.

IRX-M20 and G for 16 objects with available IRX in the UV, B, I, and H bands. The gray-shaded regions roughly define more merger- or clumpy disk-like composition based on the G-M20 boundary.

Other Images in This Article

Show More

Copyright and Terms & Conditions