Image Details

Choose export citation format:

Bent-tailed Radio Sources in the Australia Telescope Large Area Survey of the Chandra Deep Field South

  • Authors: S. Dehghan, M. Johnston-Hollitt, T. M. O. Franzen, R. P. Norris, and N. A. Miller

Dehghan et al. 2014 The Astronomical Journal 148 75.

  • Provider: AAS Journals

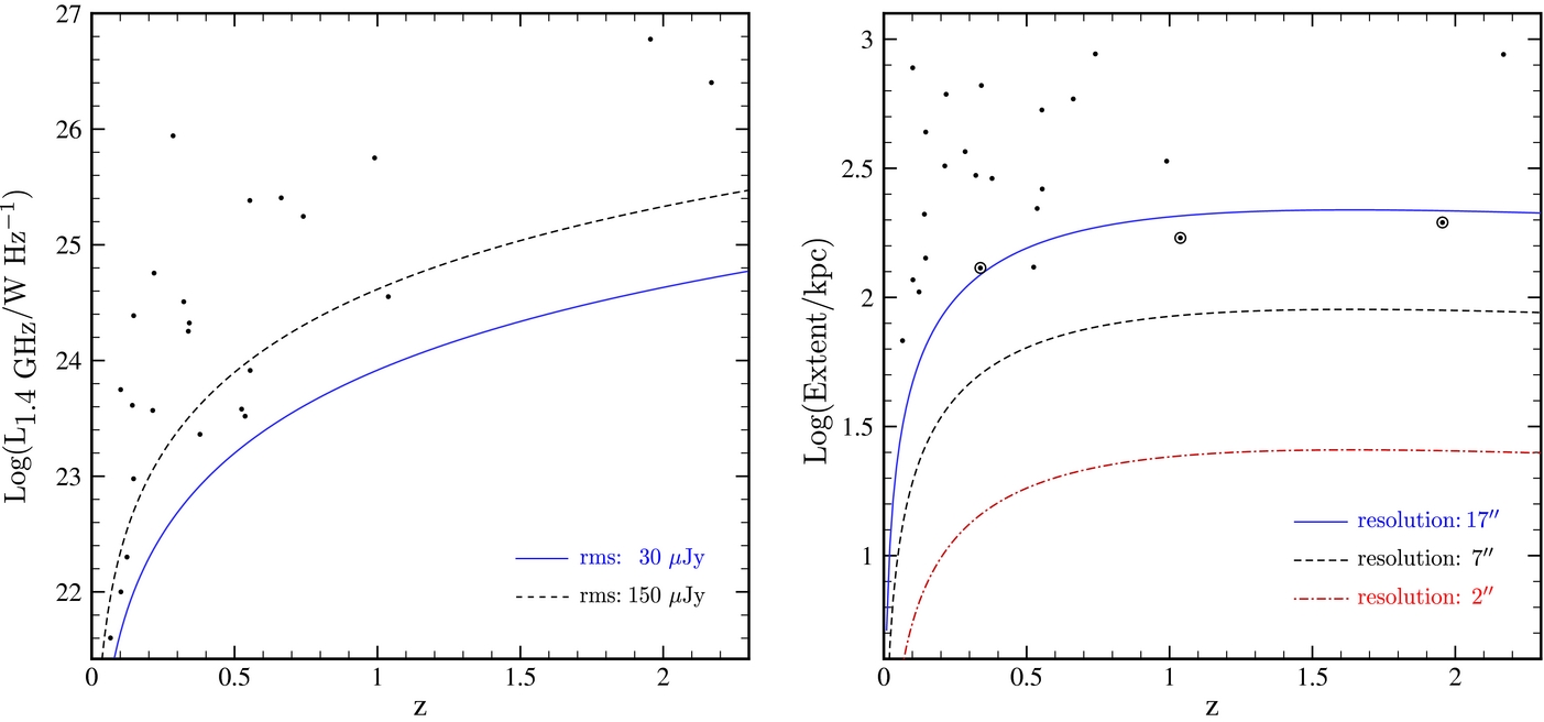
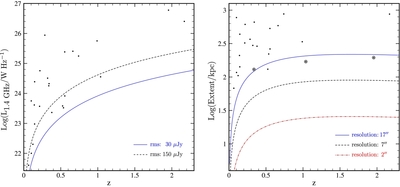
Caption: Figure 5.

Left panel: the rest-frame 1.4 GHz luminosity–redshift relation for the detected BTs. The blue line and black dashed lines represent the 6σ source detection limit with an average rms of 30 and 150 μJy, respectively. Black dots represent the detected BTs in the ATLAS-CDFS. Right panel: the extent–redshift relation for the detected BTs. The blue line, black dashed line, and red dash-dot line represent the detection limit of the sources with an extent of 1.5 beams at 17, 7, and 2 arcsec resolution, respectively. Black dots and circles represent detected BTs and sources that could not be classified as BTs without employing 2'' resolution VLA data, respectively.

Other Images in This Article
Copyright and Terms & Conditions