Image Details

Choose export citation format:

Tidally Modulated Eruptions on Enceladus: Cassini ISS Observations and Models

  • Authors: Francis Nimmo, Carolyn Porco, and Colin Mitchell

Nimmo, Porco, & Mitchell 2014 The Astronomical Journal 148 46.

  • Provider: AAS Journals

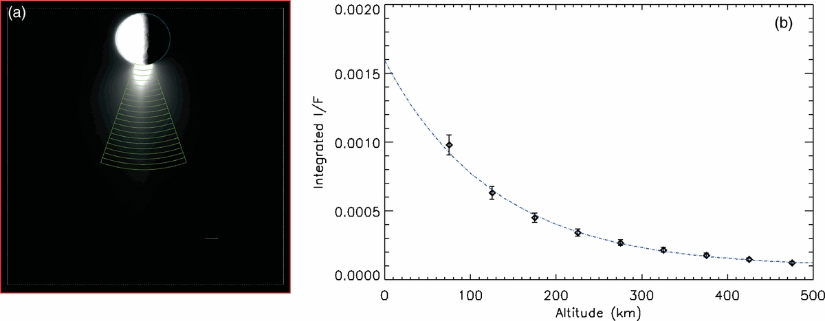
Caption: Figure 6.

(a) Sample image (N1634159832) showing the series of azimuthal integration regions used in the computation of scale height. The partial shells are each 50 km in altitude and 40° wide azimuthally, centered on the south pole. The image has been brightened to make the plume more visible. (b) The results of integrating the plume brightness within the azimuthal regions shown in panel (a) as a function of altitude. The dash-dot blue line is the fit to an exponential decay plus a constant offset. The scale height for this image is 128 km.

Other Images in This Article
Copyright and Terms & Conditions