Image Details
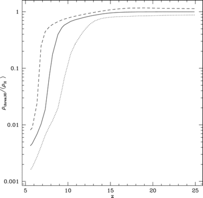
Caption: Fig. 3.
Left: Contour threshold densities as a function of ν (or equivalently, volume fraction f; see eq. [1]) at different redshifts. Note that the threshold densities do not decrease monotonically in the early phases, between ﹩z\sim 25﹩ and ﹩z\sim 17﹩ (see discussion in text). Right: Redshift evolution of the threshold densities at ﹩f=0.93﹩ or ﹩\nu =-1.5﹩ (dotted line), ﹩f=0.5﹩ or ﹩\nu =0﹩ (solid line), and ﹩f=0.07﹩ or ﹩\nu =1.5﹩ (dashed line).
© 2008. The American Astronomical Society. All rights reserved. Printed in U.S.A.