Image Details

Choose export citation format:

The Evolution of Early‐Type Field Galaxies Selected from a NICMOS Map of the Hubble Deep Field North

  • Authors: S. A. Stanford, Mark Dickinson, Marc Postman, Henry C. Ferguson, Ray A. Lucas, Christopher J. Conselice, Tamás Budavári, and Rachel Somerville

Stanford et al. 2004 The Astronomical Journal 127 131.

  • Provider: AAS Journals

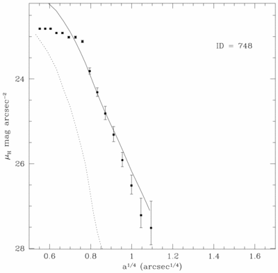
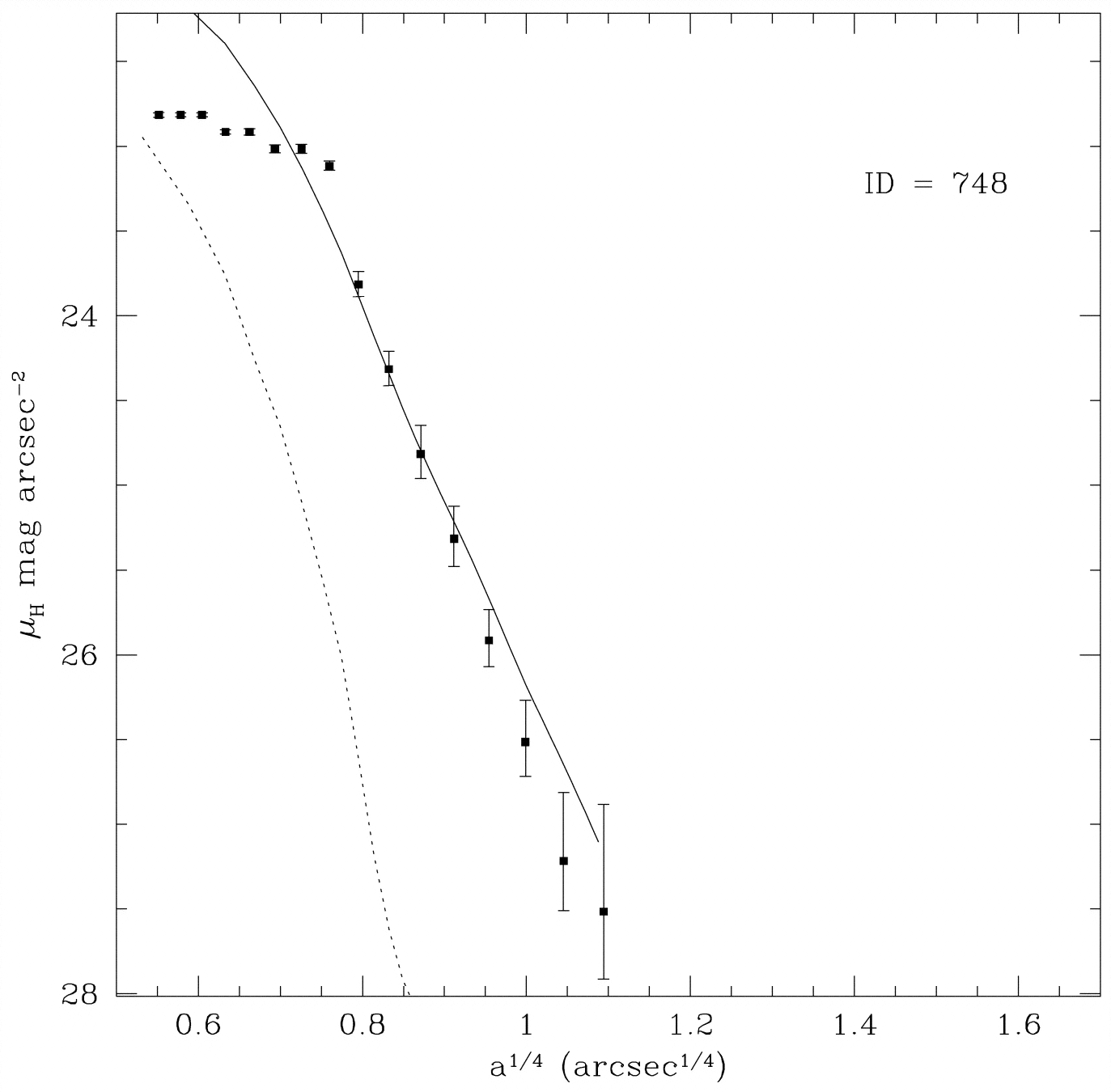
Caption: Fig. 7.

Examples of the quality of r1/4 law fits to the H160 surface brightness profiles. In each plot, the object profile is represented by the solid square points with 1 σ error bars, the F160W PSF by a dotted line, and the best fitting r1/4 law, convolved with the PSF, by a solid line. The object identification number, corresponding to the entries in Table 1, is shown in each panel. (a) A good fit is shown; (b) an example of a fair fit; (c) an example of a poor fit.

Other Images in This Article

Show More

Copyright and Terms & Conditions