Image Details

Choose export citation format:

Helium Abundance in the Most Metal‐deficient Blue Compact Galaxies: I Zw 18 and SBS 0335−052

  • Authors: Yuri I. Izotov, Frederic H. Chaffee, Craig B. Foltz, Richard F. Green, Natalia G. Guseva, and Trinh X. Thuan

Izotov et al. 1999 The Astrophysical Journal 527 757.

  • Provider: AAS Journals

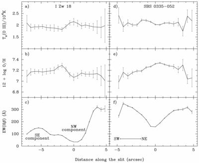
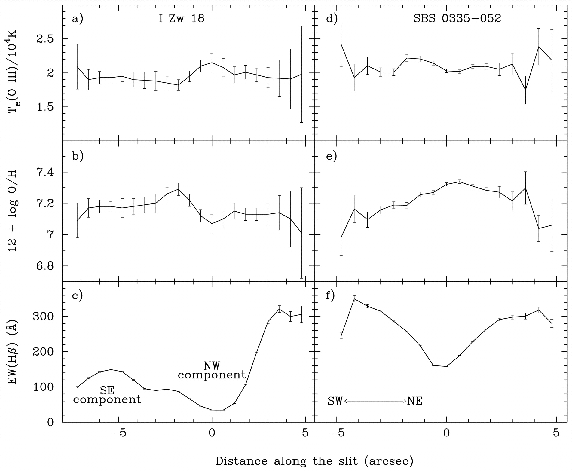
Caption: Fig. 5.

Spatial distributions of the electron temperature ﹩T_{e}﹩(O III), oxygen abundance ﹩12+\mathrm{log}\,( \mathrm{O}\,/ \mathrm{H}\,) ﹩, and EW(Hβ), the equivalent width of the Hβ emission line, (left panels) in I Zw 18 and (right panels) in SBS 0335−052. The error bars are 1 σ deviations.

Other Images in This Article
Copyright and Terms & Conditions