Image Details

Choose export citation format:

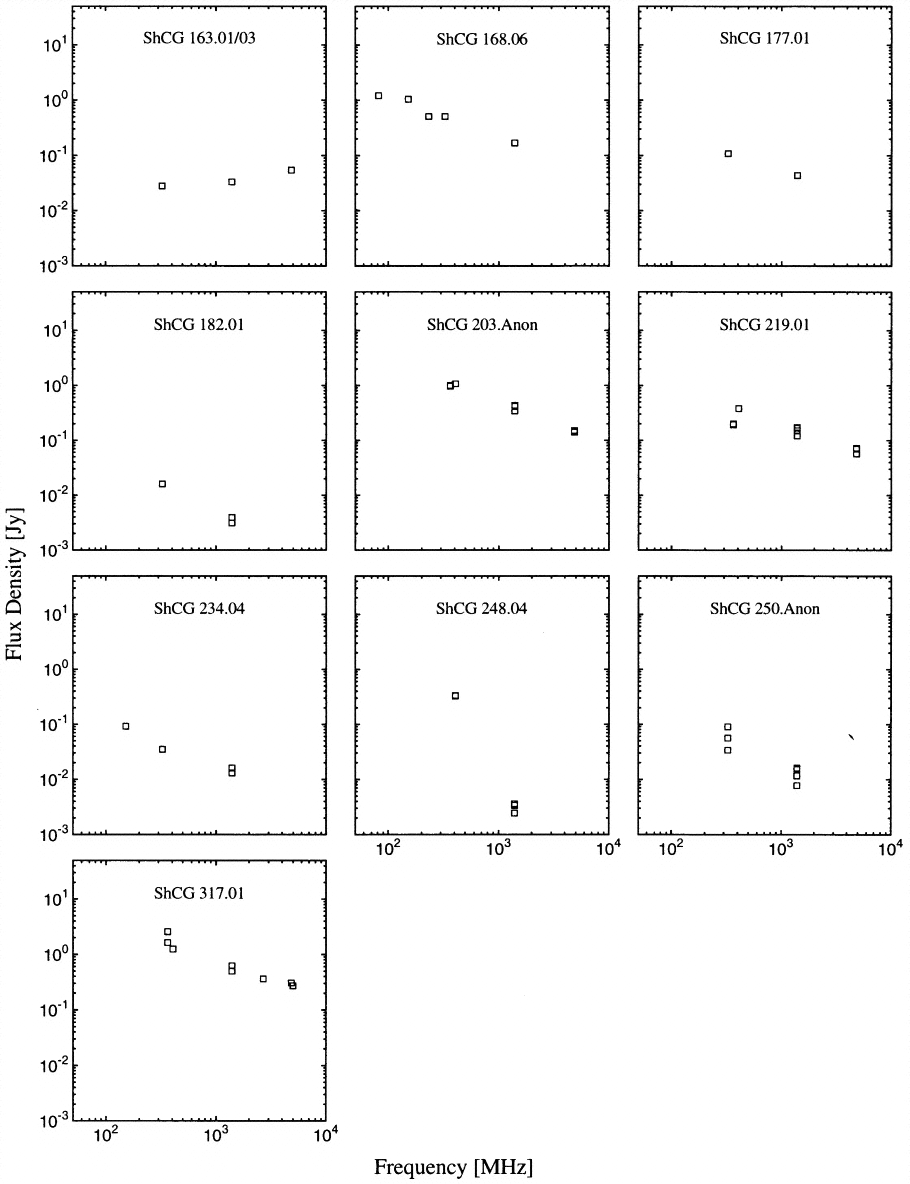
Radio Emission of Shakhbazian Compact Galaxy Groups

  • Authors: H. M. Tovmassian, V. H. Chavushyan, O. V. Verkhodanov, and H. Tiersch

Tovmassian et al. 1999 The Astrophysical Journal 523 87.

  • Provider: AAS Journals

Caption: Fig. 2.

Radio spectra of some radio sources

Other Images in This Article
Copyright and Terms & Conditions