Image Details

Choose export citation format:

Magnetic Field-line Curvature and Its Role in Particle Acceleration by Magnetically Dominated Turbulence

  • Authors: Samuel T. Sebastian, Luca Comisso

Samuel T. Sebastian and Luca Comisso 2025 The Astrophysical Journal Letters 994 .

  • Provider: AAS Journals

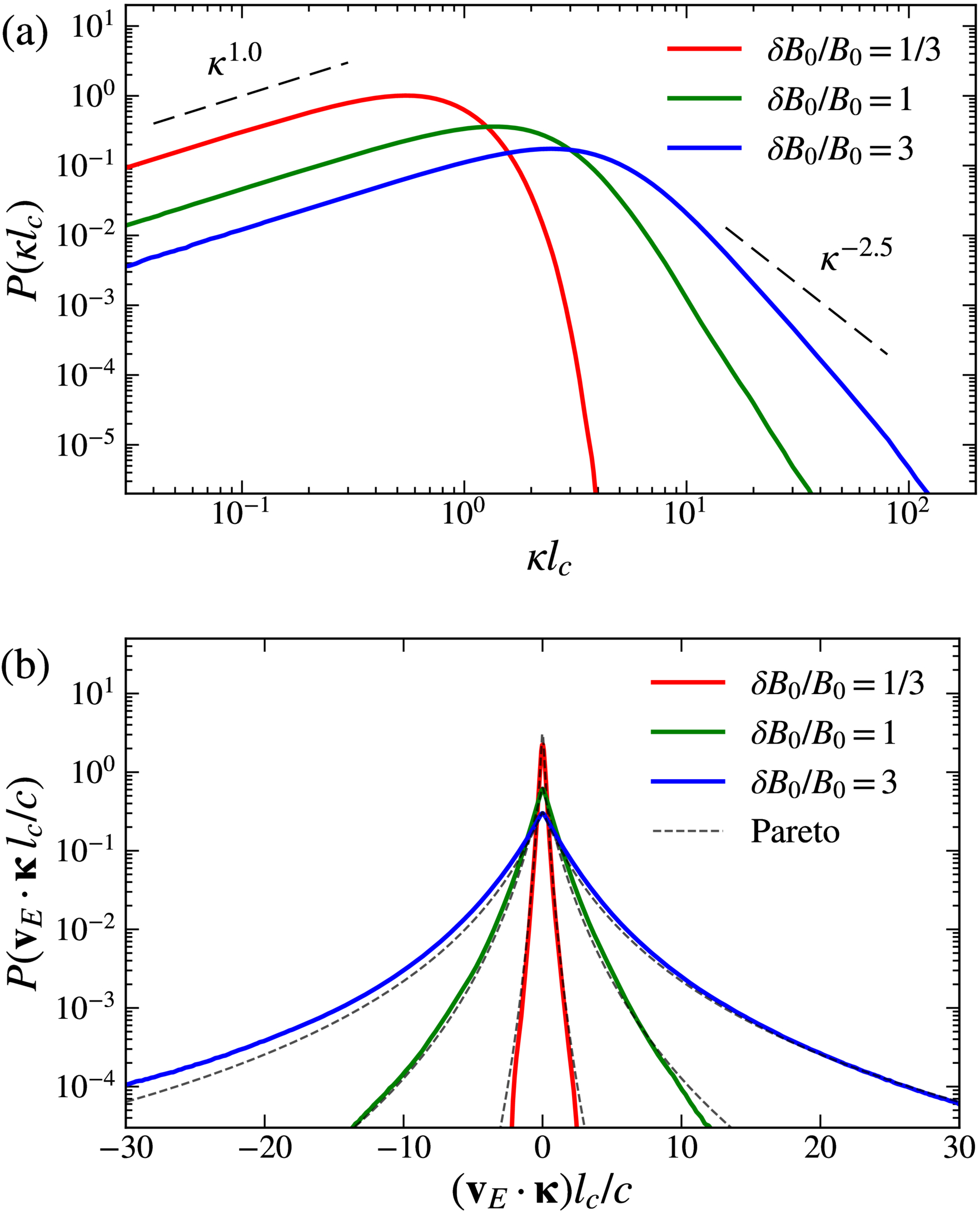
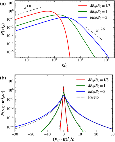
Caption: Figure 5.

(a) Probability density functions of the normalized magnetic field-line curvature, κlc, from simulations with different δB0/B0. Power-law slopes κ+1 and κ−2.5 are shown for reference. (b) Probability density functions of the normalized magnetic field-line contraction, (vE · κ)lc/c, for the same set of simulations, with symmetric Pareto distribution fits plotted as dashed lines.

Other Images in This Article
Copyright and Terms & Conditions

Additional terms of reuse