Image Details

Choose export citation format:

Magnetic Field-line Curvature and Its Role in Particle Acceleration by Magnetically Dominated Turbulence

  • Authors: Samuel T. Sebastian, Luca Comisso

Samuel T. Sebastian and Luca Comisso 2025 The Astrophysical Journal Letters 994 .

  • Provider: AAS Journals

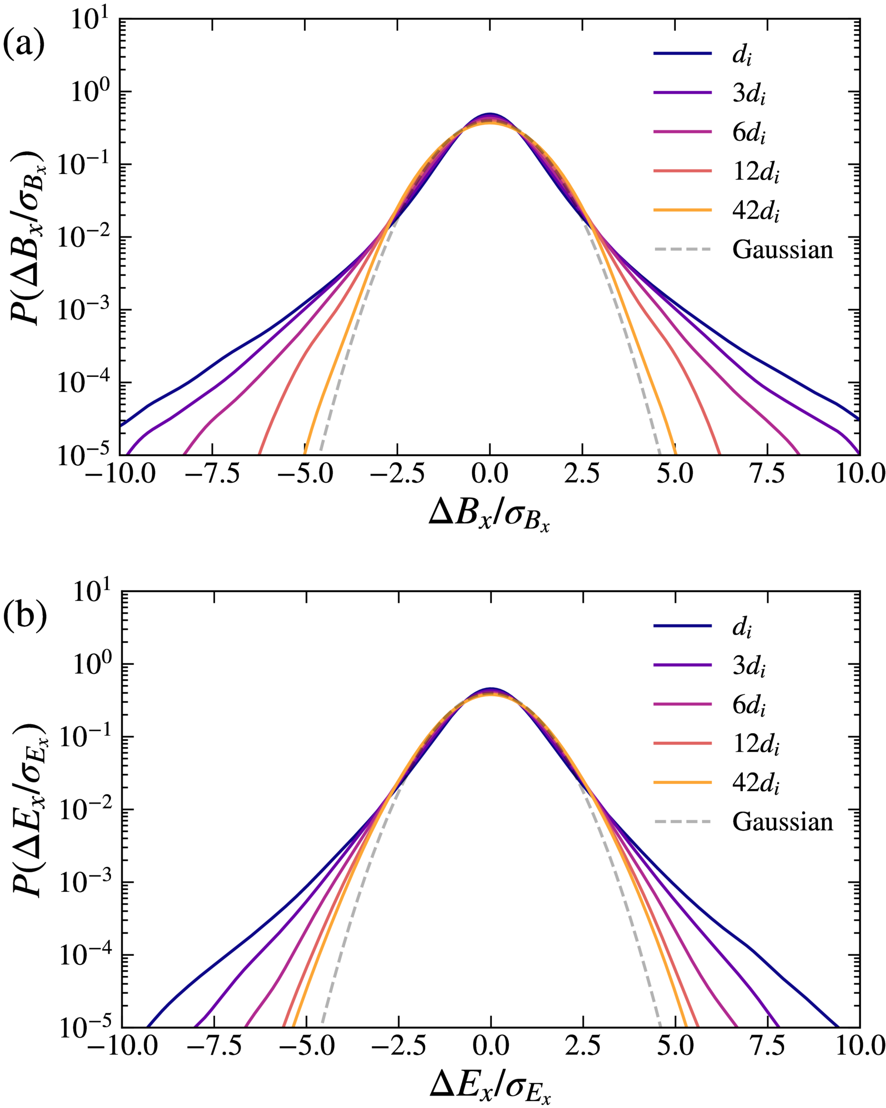
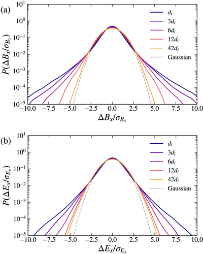
Caption: Figure 3.

Probability density functions of field increments at different spatial separations, from the outer scale r = 42di down to the ion inertial scale r = di, including intermediate scales. Results are from the reference simulation (δB0/B0 = 1) at t = 2 lc/c. The increments Δf(r) are (a) ΔBx(r) and (b) ΔEx(r), each normalized by their standard deviation at the corresponding r. At small separations, the pdfs show pronounced non-Gaussian heavy tails, while at large r they approach a Gaussian distribution (dashed curve).

Other Images in This Article
Copyright and Terms & Conditions

Additional terms of reuse