Image Details

Choose export citation format:

Magnetic Field-line Curvature and Its Role in Particle Acceleration by Magnetically Dominated Turbulence

  • Authors: Samuel T. Sebastian, Luca Comisso

Samuel T. Sebastian and Luca Comisso 2025 The Astrophysical Journal Letters 994 .

  • Provider: AAS Journals

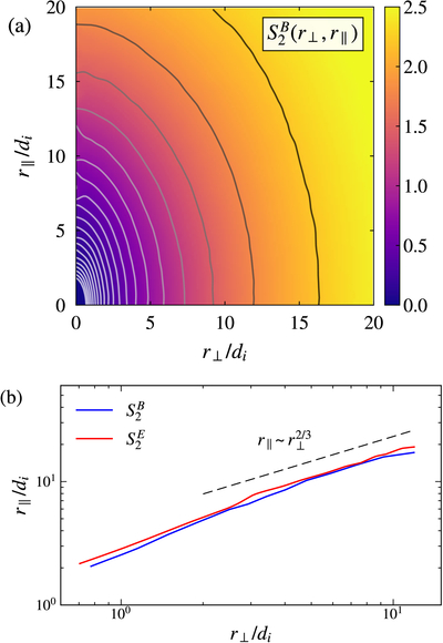
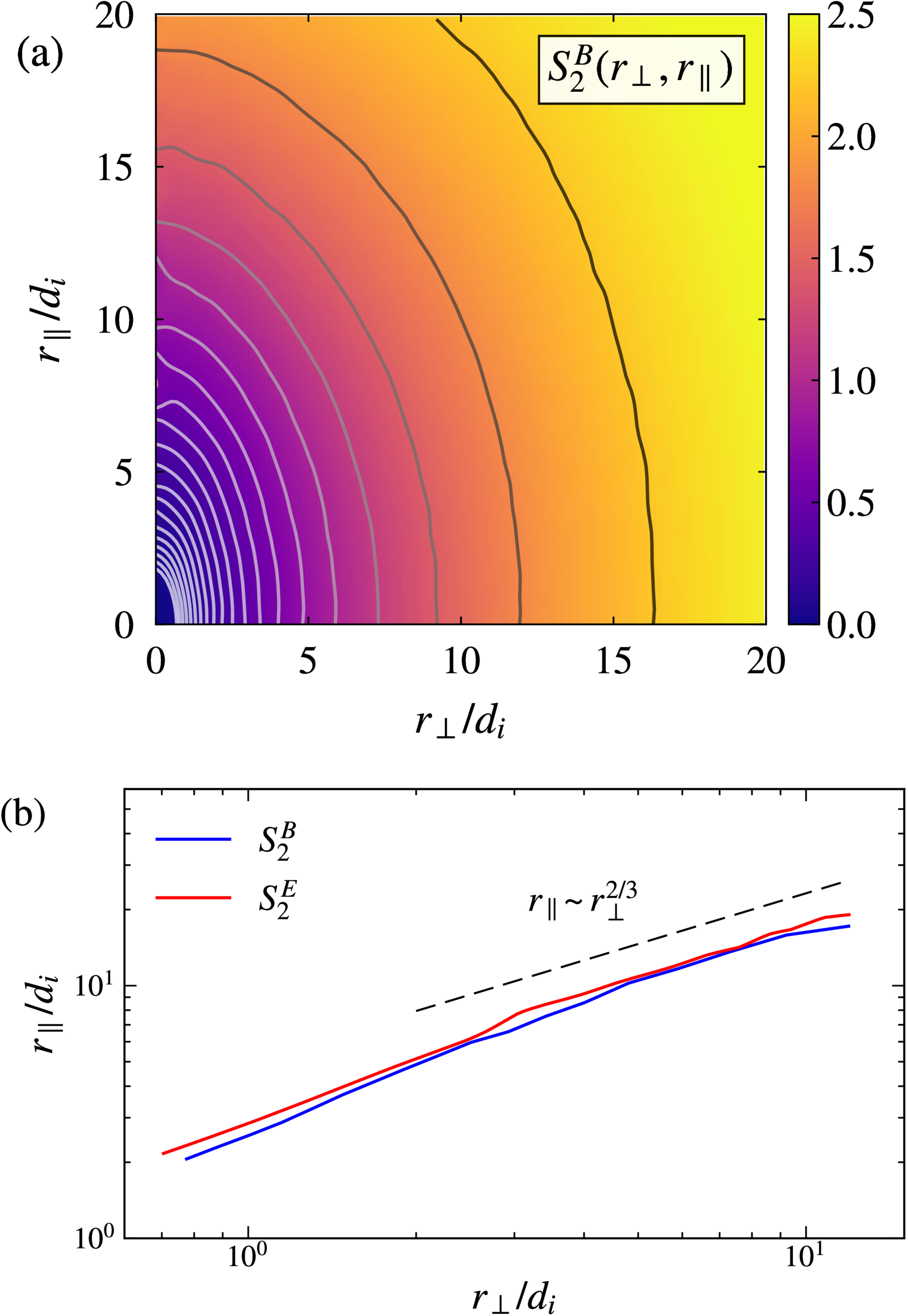
Caption: Figure 2.

Second-order structure function of magnetic fluctuations (a) and anisotropy of magnetic and electric fluctuations (b), from the simulation with δB0/B0 = 1 at t = 2 lc/c. Here, perpendicular (⊥) and parallel (∥) are measured with respect to the scale-dependent local mean magnetic field, as detailed in J. Cho & E. T. Vishniac (2000).

Other Images in This Article
Copyright and Terms & Conditions

Additional terms of reuse