Image Details

Choose export citation format:

Magnetic Field-line Curvature and Its Role in Particle Acceleration by Magnetically Dominated Turbulence

  • Authors: Samuel T. Sebastian, Luca Comisso

Samuel T. Sebastian and Luca Comisso 2025 The Astrophysical Journal Letters 994 .

  • Provider: AAS Journals

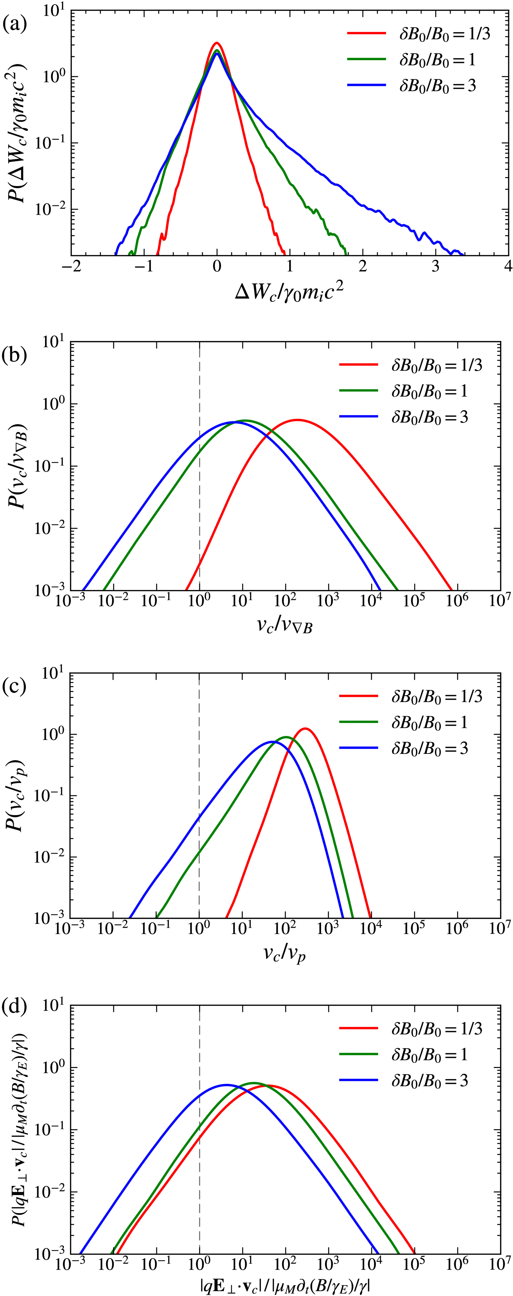
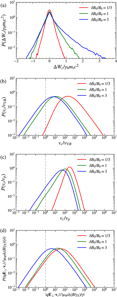
Caption: Figure 10.

Dependence of curvature-drift energization and other contributions on δB0/B0. (a) Pdfs of ΔWc/γ0mic2 accumulated over Δt = 0.5 lc/c starting at t0 = 2 lc/c, from particles with γ0 ∈ (3, 8). (b)–(d) Pdfs of the ratios vc/vB, vc/vp, and ∣qE · vc∣/∣μMt(B/γE)/γ∣, respectively, obtained from the tracked particles.

Other Images in This Article
Copyright and Terms & Conditions

Additional terms of reuse