Image Details

Choose export citation format:

Magnetic Field-line Curvature and Its Role in Particle Acceleration by Magnetically Dominated Turbulence

  • Authors: Samuel T. Sebastian, Luca Comisso

Samuel T. Sebastian and Luca Comisso 2025 The Astrophysical Journal Letters 994 .

  • Provider: AAS Journals

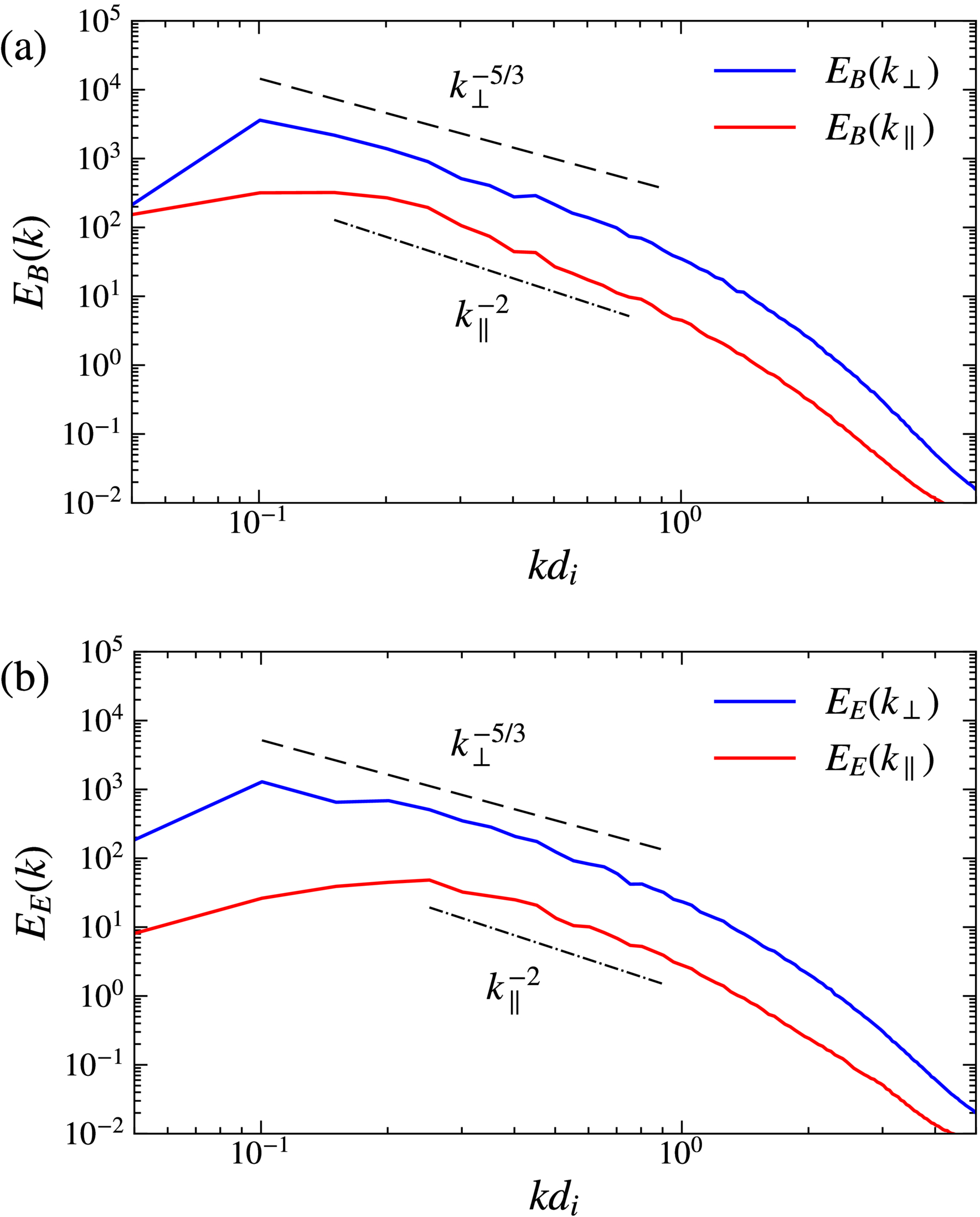
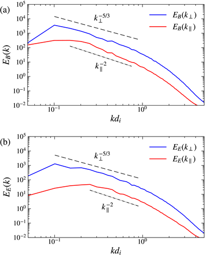
Caption: Figure 1.

Perpendicular and parallel spectra of (a) magnetic and (b) electric fluctuations, from the simulation with δB0/B0 = 1 at t = 2 lc/c. Power-law slopes of ﹩{k}_{\perp }^{-5/3}﹩ and ﹩{k}_{\parallel }^{-2}﹩ are shown for reference. Here, perpendicular (⊥) and parallel (∥) are measured with respect to B0.

Other Images in This Article
Copyright and Terms & Conditions

Additional terms of reuse