Image Details

Choose export citation format:

XRISM/Resolve Spectroscopy of the Central Engine in the Seyfert-1 AGN Mrk 279

  • Authors: Jon M. Miller, Xin Xiang, Doyee Byun, 도의 변, Ehud Behar, Laura Brenneman, Edward Cackett, Elisa Costantini, Luigi Gallo, Keith Horne, Elias Kammoun, Chen Li, Abderahmen Zoghbi

Jon M. Miller et al 2025 The Astrophysical Journal Letters 994 .

  • Provider: AAS Journals

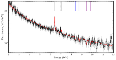
Caption: Figure 3.

The time-averaged XRISM/Resolve spectrum of Mrk 279. The data are plotted in the rest frame and binned using the “optimal” algorithm for fitting and by a further factor of 4.0. The model shown in red is the best-fit extended physical model, including three components for the neutral Fe K emission lines, photoionized emission contributing an H-like Fe XXVI line at 6.97 keV, and photoionized absorption from tentative fast wind components. The solid gray lines indicate the lab energies of the neutral Fe Kα and Fe Kβ lines. The dashed gray line indicates the lab energy for the Fe XXVI emission line. The blue and purple lines indicate He-like Fe XXV and H-like Fe XXVI line pairs from potential UFOs at v ≃ 0.22c and v ≃ 0.33c. Please see the text and Table 2.

Other Images in This Article
Copyright and Terms & Conditions

Additional terms of reuse