Image Details

Choose export citation format:

XRISM/Resolve Spectroscopy of the Central Engine in the Seyfert-1 AGN Mrk 279

  • Authors: Jon M. Miller, Xin Xiang, Doyee Byun, 도의 변, Ehud Behar, Laura Brenneman, Edward Cackett, Elisa Costantini, Luigi Gallo, Keith Horne, Elias Kammoun, Chen Li, Abderahmen Zoghbi

Jon M. Miller et al 2025 The Astrophysical Journal Letters 994 .

  • Provider: AAS Journals

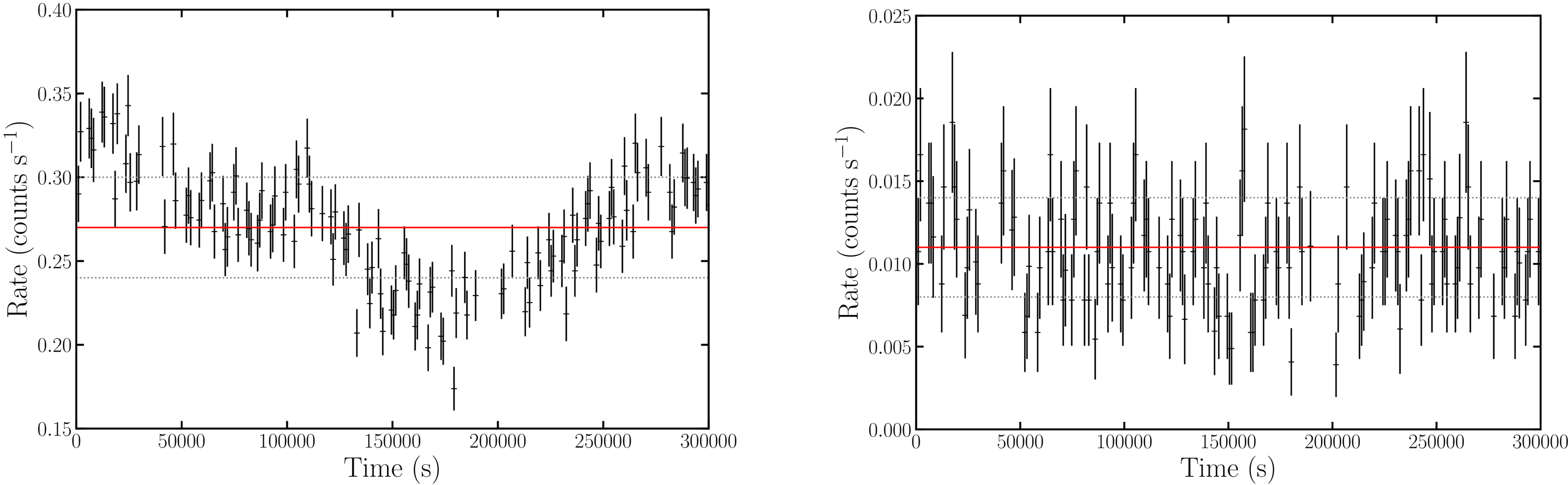
Caption: Figure 1.

Light curves of the XRISM/Resolve observation of Mrk 279. The left panel shows the light curve of the full Resolve band, and the right panel shows the light curve of the filtered 6.3–6.5 keV band (6.1–6.3 keV in the observed frame). The red horizontal line in each panel indicates the mean rate in each band (0.27 ± 0.03 counts s−1 for the full band, 0.011 ± 0.003 counts s−1 for 6.1–6.3 keV), and the horizontal dotted lines indicate the rms of the variations in each curve.

Other Images in This Article
Copyright and Terms & Conditions

Additional terms of reuse