Image Details

Choose export citation format:

NGTS-EB-8: A Double-lined Eclipsing M+M Binary Discovered by Citizen Scientists

  • Authors: Sean M. O'Brien, Megan E. Schwamb, Christopher A. Watson, Louise D. Nielsen, Edward M. Bryant, Sarah L. Casewell, Matthew R. Burleigh, Lucy Fortson, Samuel Gill, Chris J. Lintott, Katlyn L. Hobbs, Ioannis Apergis, Daniel Bayliss, Jorge Fernández Fernández, Maximilian N. Günther, Faith Hawthorn, James S. Jenkins, Alicia Kendall, James McCormac, Ernst J. W. de Mooij, Toby Rodel, Suman Saha, Laura Trouille, Richard G. West, Peter J. Wheatley, Marius Constantin Agafitei, Deniz Rüzgar Apaydın, Elisabeth Baeten, Bruce Baller, Jeff Carabott, Sallyann Chesson, Sebastián Alejandro Freigeiro, Virgilio Gonano, Matthias Hanke, Pete Hermes, Avery Hildebrand, John S. Langley, See Min Lim, Leo Ryan McCarthy, Graham Mitchell, Ken O'Neill, Charles R. Pearson, Nolan Reket, Jeanne Riethmiller, Juergen Saeftel, Arttu Sainio, Charlie Steiner, Amanda Strickland, Christopher Tanner, Ivan A. Terentev, Ernest Jude P. Tiu, Sergey Y. Tumanov, Marciniak Urszula, Pia Vahlenkamp, Femke de Vroome, Paweł Wantuch, Timothy Woodruff

Sean M. O’Brien et al 2025 The Astronomical Journal 170 .

  • Provider: AAS Journals

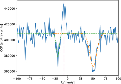
Caption: Figure 3.

The CCF for the NIRPS spectrum of NGTS-EB-8 from the night of 2023 April 27 cross-correlated with the NIRPS M2 mask. The solid blue line shows the CCF. The vertical dashed–dotted pink line shows the barycentric Earth radial velocity (BERV) value that coincides with the sky emission peak. The orange and green dashed lines show the Gaussian fits for the primary and secondary component, respectively.

Other Images in This Article

Show More

Copyright and Terms & Conditions

Additional terms of reuse