Image Details

Choose export citation format:

PhotoD with LSST: Stellar Photometric Distances Out to the Edge of the Galaxy

  • Authors: Lovro Palaversa, Željko Ivezić, Neven Caplar, Karlo Mrakovčić, Bob Abel, Oleksandra Razim, Filip Matković, Connor Yablonski, Toni Šarić, Tomislav Jurkić, Sandro Campos, Melissa DeLucchi, Derek Jones, Konstantin Malanchev, Alex I. Malz, Sean McGuire, Mario Jurić

Lovro Palaversa et al 2025 The Astronomical Journal 169 .

  • Provider: AAS Journals

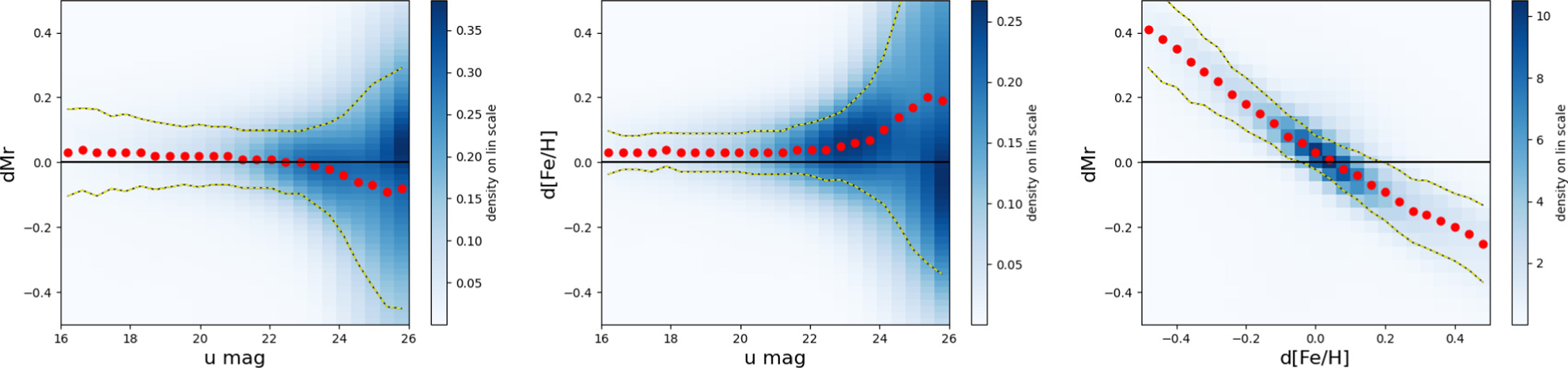
Caption: Figure 14.

The variation of the difference between the true and estimated values (left: Mr, middle: [Fe/H]) with u-band magnitude. The binned background map shows the same simulated sample as in Figure 11. The symbols show binned medians and the dashed lines show robust standard deviation around the medians. At about u = 23, the scatter for both Mr and [Fe/H] starts increasing due to increasing u-band measurement error. The dataset was generated assuming a u-band 5σ limiting depth of 25.73 for coadded LSST photometry (F. B. Bianco et al. 2022). The right panel illustrates a strong anticorrelation between the differences.

Other Images in This Article

Show More

Copyright and Terms & Conditions

Additional terms of reuse